

前言
对于许多计划在2026丙午马年迎来新成员的家庭来说,翻看古老的清宫图表,猜测一下未来宝宝的性别,往往是一件充满乐趣的“预备功课”。这份源自宫廷的“预测表”,操作方式其实相当直观。你只需要知道自己的“虚岁”年龄(即实际年龄再加一岁),再对应上受孕的农历月份,图表中的交汇处,便会呈现出一个“小王子”或“小公主”的预测结果。比如,一位1996年出生的准妈妈,在2026年的虚岁为31岁,若她在农历二月成功受孕,按照图表推算,很可能是一位贴心的小棉袄。
RUIDING IVF

2026清宫图表参考(娱乐版)
这张图表的核心在于交叉查询:左侧竖列代表孕妇的虚岁年龄(通常涵盖18至45岁),上方横排则表示农历的一月至十二月。横纵交汇的格子,便是预测结果。让我们通过几个例子,来感受一下这份来自古代的“概率游戏”:
实例一:若一位虚岁22岁的女性,在农历一月怀上宝宝,图表会指向一位可爱的小公主;若是在农历二月,则预测是一位活泼的小公子。
实例二:对于虚岁28岁的女性来说,农历一月怀上的宝宝,图表预测是小公子;而农历二月,则变成了小公主。
实例三:同样,虚岁30岁的女性,农历一月怀上的是“建设银行”(男孩),农历二月怀上的则可能是“招商银行”(女孩)。
RUIDING IVF

如何正确查阅清宫图表?
想要让这份“预测游戏”玩得准确,有两个关键的换算步骤需要留心:
1.年龄必须用“虚岁”:这是最关键的一步!千万不要直接用你的周岁年龄去查。古人认为,生命在母亲腹中时就已经开始了,所以出生时就已算作一岁。因此,你需要在现在的周岁基础上加上一岁。举例来说,1996年出生的人,到2026年虽然周岁是30,但虚岁就应该是31。
2.月份必须看“农历”:记住,受孕月份要以农历为准!需要翻看日历,将阳历日期转换成对应的农历日期。如果恰巧遇到闰月,通常的处理是:上半月出生的,算前一个月份;下半月出生,则算后一个月份。
RUIDING IVF

影响宝宝性别的真正因素
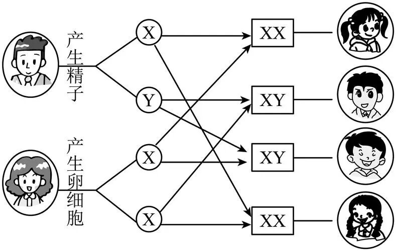
在享受这份“预测”乐趣的同时,我们不妨用现代科学的视角来审视一下。决定宝宝性别的“金钥匙”,其实从来都掌握在爸爸的“小蝌蚪”身上。男性精子携带的性染色体决定了未来宝宝的性别:如果是携带Y染色体的精子与卵子结合,就会是男孩;如果是携带X染色体的精子与卵子结合,则会成为女孩。
这是一个完全随机且公平的生物学事件,其发生的概率各占50%,与我们选择在哪一年、哪一个月怀上宝宝,其实并没有直接的关联。清宫图表更像是一份流传百年的民俗文化符号,为我们提供了一种充满仪式感的期待与谈资。
RUIDING IVF

写给准爸妈的温馨小贴士
归根结底,这份清宫图表的最大价值,在于它为备孕之路增添了一份趣味和美好的想象。我们更建议大家将其视为一种娱乐,保持一颗平常心。
备孕的真正核心,应该是科学备孕,顺其自然。把重心放在调整双方的身体状态上,坚持健康的生活作息,戒烟戒酒,保持均衡饮食,并适当参与运动。当身心都处于最佳状态时,才能为宝宝的到来创造一个最优的“小窝”。无论是男宝还是女宝,只要健康、平安,就是上天赐予我们最珍贵的礼物。

